【生活數學王】安多老師|便利商店早餐優惠方案 到底有幾種組合可以買?

Snapask小幫手
12 Aug 2022

Snapask數學老師-安多 簡介⬇️⬇️⬇️
安多老師畢業於國立彰化師範大學,擁有超過6年以上的數學科教學經驗,持有中等學校合格教師證,多所公立國高中與連鎖補教擔任國、高中數學教師。擅長升學考試的考題分析,曾幫助許多學生考取國中會考數學科滿分以及高中學測滿級分。
教學風格幽默有趣,遠端課程也能抓住學生注意力,課程設計由淺入深,擅長以清楚講解單元觀念,訓練學生解題邏輯思維,精準應用數學公式,輕鬆破解難題,引導式的解題流程更幫助同學掌握108 課綱素養題解題步驟。
✍️ 跟安多老師一起有趣學習高中數學!快報名老師的線上學期進度班,帶你週週學好數學!
生活數學王帶你一起動手做實驗
用數學解決生活中常見的問題!
今天收到了一位同學的投稿,跟著安多老師來看看他遇到什麼問題了!
「老師我想問,每次上課前我去全家買早餐,發現早餐那區常常會有很多優惠組合,但對於有選擇障礙的我來說,能不能直接提供我所有可能的搭配組合呢?這樣我就不用每天站在冷藏櫃前浪費人生了。」
好,同學,收到你的問題了!那就一起來研究看看囉!各式各樣的早餐搭配,我們可以用「加法原理和乘法原理」來解決這個問題。
加法原理
首先,先來介紹一下什麼是「加法原理」,已知 A、B為二事件,若A發生則B必不發生,則A、B為互斥事件,此時n(AB)=0,所以n(AB)=n(A)+n(B)。這邊舉一個例子,以39元的早餐組合來說,飲料我們有四種選擇,假如我今天選擇熱經典美式(小杯)我就不能選光泉鮮豆漿,兩事件的交集是空集合,不能同時發生。
所以幫助同學整理出目前「39元方案」可搭配的餐點總數:
飲料4種
餐點:飯糰2種;熟食7種,2+7=9種
得出 4x9=36種
乘法原理
那甚麼是「乘法原理」呢?已知A,B為二事件,若A發生與否與B無關,則稱A,B為獨立事件,此時n(AB)= n(A)n(B)。以早餐搭配的例子來說,飲料的選擇和餐點的選擇彼此無關。這時我們就會使用乘法原理,4X9=36種,我們有一共28種早餐組合情形,如果每天都吃便利商店早餐,這麼多種搭配似乎也夠了呢XD 也幫各為同學整理一下49元組合和59元組合的搭配情形數吧!
49元組合
飲料16種
餐點:飯糰9種/熟食12種/飯糰3種/麵包46種,9+12+3+46=70種,16X70=1120種
59元組合
飲料16種
餐點:飯糰12種/熟食2種/三明治10種/冷凍1種/麵包13種,12+2+10+1+13=38種,16X38=608種
如果今天同學每天挑選39/49/59元組合的其中一種組合每天換,一共需要36+1120+608=1764天才能輪完一輪。大約需要4年10個多月,優惠活動都不知道已經換幾輪了呢!接下來就針對以下各種生活中可能會遇到的情境,來和同學討論討論吧!
情境練習題一
安多老師想請夥伴們(一共六位)喝全家飲料,但小氣的安多老師限定夥伴只能買每杯25元的飲料,目前架上25元的飲料共有七種,一共有幾種點飲料的方法?
這題會用到重複排列的觀念,六位夥伴排排站,首先,第一個夥伴有七種飲料可以選擇,所以有七種可能;第一位選完後,第二位夥伴還是有七種飲料可以選擇,得知其實每一位夥伴都有七種飲料可以選,也就是7X7X7X7X7X7=76種飲料點法。
情境練習題二
安多老師又另外買了六個不同的麵包要分同事們,但是每個同事限拿一個,共有共有幾種發法?
情境二與情境一的差別在於「限拿一個」,相當於第一位同事拿走的麵包,後面的同事就不能再拿,會剩下五種麵包提供選擇,所以會用到排列的概念,也就是6!=720種發法。
組合
「排列」都了解了之後,就輪到「組合」拉!同學們準備好了嗎?一起看下去囉!
情境一
安多將3個相同的飯糰隨機分給六個同事,每人限一個(可能有人沒拿到),一共有幾種分法?
同學會發現這是同物排列的概念,
。由此可知,同物排列的概念其實就是組合喔!
情境二
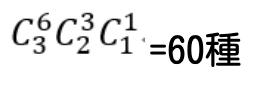
安多將六個不同的麵包,分給安妮3個,瑞奇2個,蓋博1個,那安多一共有幾種分法?
這一題還是組合的概念,
情境三
安多決定從4種品牌中共買六個麵包,每種品牌的麵包不限購買數量,一共有幾種買法?
這題會用到「重複組合」的概念喔! 但這邊跟同學解釋一下,重複組合已經從新課綱裡面拿掉了,所以老師等等會是用同物排列的角度來解釋,同學可以參考參考喔!
經過了這次的採買,同學有比較清楚排列和組合的概念了嗎?其實這些排列組合的算法都還是可以套用在買其他東西的時候,像是你要網購衣服、去書店買參考書等等,你都可以用這次學到的方法算算看哦!好,那今天的文章就到這邊啦,希望有解答到這位同學的疑惑~同學們下次見囉,掰掰!
☑️ 想跟安多老師一起學習高中數學?
👉 高二數A點這裡試聽
👉 高二數B點這裡試聽
🔥 喜歡【生活數學王】嗎?來聽安多老師,帶你用數學解決生活中的問題 🔥
🌟 掌握讀書方法,也要掌握學習工具!Snapask App 讓你隨時問問題,即時在 Snapask App 上獲得解答!快點我下載App:https://lihi1.com/rxhMu/academy 🌟
🎁 想要0元領取「學測全科考猜班」嗎?立刻加入 Snapask TW 的官方帳號 ,點擊「專員服務」按鈕,價值 $1,590 元的「學測全科考猜班」免費送給你!心動了嗎?現在就點選連結加入吧:https://lin.ee/nHFsgtc 🎁
推薦
6 款課業線上學習 App,讓你輕鬆脫穎而出!
Snapask 時課問為大家精選「最適合學生族群使用的6大學習App 」,讓線上學習既豐富又極具便利性,在家讀線上課程也能達到事半功倍的學習成效,快來瞧瞧有哪些實用的自學 App 軟體吧!
Snapask小幫手28 Jul 202004:58
如何做好時間管理?番茄鐘工作法搭配時間四象限法
相信同學們一定經常會覺得科目這麼多,到底怎麼讀得完,或是覺得明明在書桌前坐了一整天,為什麼還是沒有什麼進度?其實人的專注度是有限的,所以如果沒有做好時間管理,那可就事倍功半。在今天的節目當中,會為大家介紹兩個實用的時間管理技巧,希望幫助同學妥善利用時間,高效率的學習。
Snapask小幫手5 Aug 2022【導師開講】三類組必備!醫學系應考指南!
本篇文要與同學們分享林哲佑學長準備考取高醫醫學系的過程,以及各科備考分科測驗準備,以供各位考場戰士們參考,希望能讓同學們有所收穫。
Snapask小幫手2 Jun 2020109指考英文作文佳作整理
英文作文有多難?看看多少考生交白卷就知道了!其實進步不難,我們可以先從觀摩好作品開始,一起來看看109指考英文作文佳作範例,從中學習他人的優點吧!
Snapask小幫手23 Apr 2021拜文昌帝君怎準備?考生考試拜拜攻略:供品、步驟
學測大考在即,很多家長和考生會去廟裡拜拜祈求考試順利平安,但要怎麼拜?準備哪些供品?往往難倒不少家長,為了避免到廟口才發現拜錯的窘境,Sanpask 為家長及考生們特別出了「文昌帝君拜拜攻略」讓所有考生們都能拜好拜滿,求得神明的加持與保佑,在考試時有如神助! 接下來讓我們一起看看Snapask的「考試拜拜攻略」吧!
HsinYunLee15 Apr 2020